研究与技术
师红宇a, 管声启b
(西安工程大学 a.计算机科学学院;b.机电工程学院,西安 710048)
摘要:为了提高棉花异性纤维检测准确性及快速性,提出一种基于视觉数据驱动的棉花异性纤维检测新方法。首先,对采集棉花异性纤维图像进行小波金字塔多层分解,实现棉花异性纤维图像中各信息的分离;然后使用mean-shift算法平滑图像,消除光照不均的干扰;在此基础上,采用中央-周边操作算子和融合操作构建显著图,从而提高异性纤维的显著度;最后,利用改进的区域生长法获得目标区域。文章采用视觉数据驱动构建的检测模型,结构简单、检测速度快、准确率高。实验结果表明,该检测方法能够有效实现棉花异性纤维的检测,提高检测准确性和快速性,为棉花异性纤维自动检测提供一种新方法。
关键词:异性纤维;数据驱动;显著图;mean-shift算法;改进的区域生长法
棉花是纺织企业加工处理的原材料,在原棉加工处理过程中由于很多原因混入了多种异性纤维(棉花中的异性纤维是指混入棉花中非棉纤维和非本色纤维,如棉籽、棉壳、棉叶、毛发、塑料绳、染色线等),这些混入棉花中的异性纤维,在纺织加工中被碎成单纤维,对棉纱和布面的质量造成了很大危害,难以清除[1-2]。因此,棉花异性纤维的检测和剔除是纺织企业的一个重要必备环节。然而,目前对异性纤维的检测主要还是采用人工检测,而这种方法通常检测效率低下,容易受检测环境的影响[3-4]。
随着机器视觉理论的发展,在棉花异性纤维检测中引入机器视觉,使得异性纤维检测的工作效率得到了改善,异性纤维检出率提高了[5-6]。如王波[7]提出了基于多尺度小波的棉花异纤检测算法;张南宾等[8]提出了一种基于小波变换的棉花异纤检测算法;王昊鹏等[9]提出了一种基于改进的粒子群多阀值的白色异性纤维检测算法;杜玉红等[10]提出了一种应用聚类统计分析的棉花异纤图像检测算法;W. Kiechl等[11]提出了一种棉花中白色丙纶异纤的检测方法。这些棉花异性纤维检测方法虽然取得了一定的成果,但对于那些低对比度的异性纤维,检测准确率比较低,某种具体算法往往只能适用某几类异性纤维的检测,很难具有普适性[12-13]。因此,本文提出了一种基于视觉数据驱动的棉花异性纤维检测新方法,将视觉注意机制引入到棉花异纤检测中,将计算资源优先分配给那些视觉感兴趣区域,极大地提高了异纤的检测效率。
视觉注意机制模型分为视觉数据驱动模型和视觉任务驱动模型两种,其中视觉数据驱动模型是一种自底向上注意机制模型,视觉任务驱动模型是一种自顶向下注意机制模型。视觉数据驱动模型可以在一定程度上模拟人类视觉注意机制,该模型通过图像底层特征驱动,提高检测目标的显著度而形成视觉注意。为了增强棉花中异性纤维显著度,提高异性纤维检测准确率,本文采用视觉数据驱动模型,构建异性纤维的显著图,增大异性纤维与正常棉花纤维背景之间的对比度,来有效提高棉花异性纤维的检测效果。
1.1 视觉数据驱动模型的构建
1.1.1 Itti模型
Itti模型是一个典型的数据驱动的视觉注意模型,是由Itti等人于1998年提出来的。Itti模型包括三个步骤:特征提取、显著图生成和注意焦点确定与转移。该模型首先对原始图像采用不同尺度求出颜色、亮度、方向上的特征图,然后通过合并策略将这些特征图整合成一副显著图,最后采用胜者为王(WAT)神经网络和禁止返回机制来引导注意转移[14]。其流程如图1所示。
由于Itti模型的提出并不是针对于某一个具体的应用,所以不能直接用于异纤的检测,而且Itti模型也存在一些缺陷,如显著区与目标区域有偏差、计算量较大、计算复杂度太高,不适合于现实应用。

图1 Itti模型
Fig.1 Itti model
1.1.2 Itti改进模型的构建
为了实现棉花异性纤维的检测,增大棉花异性纤维与正常棉花纤维之间的对比度,本文在研究数据驱动Itti模型基础上,结合棉花特性,仅选择灰度特征进行分解;构建Itti改进模型[15-17],其模型如图2所示。

图2 数据驱动Itti改进模型
Fig.2 Data-driven improved Itti model
通过图1和图2两种模型对比,Itti改进模型结构简单、检测速度快、准确率高。该模型主要是采用数据驱动实现棉花异性纤维信息的检测,具有针对性,根据棉花异性纤维特性,仅选择灰度特征进行分解,计算量明显降低,检测速度快;其次,Itti模型只是标记出注意焦点,Itti改进模型不仅标出了注意焦点,还采用改进的区域生长法对注意焦点进行分割,获取检测目标,准确率高。
通过该模型能够提高异性纤维的显著度,其算法流程为:小波金字塔多层分解,mean-shift平滑滤波,中央-周边操作及融合,显著图异性纤维的分割。
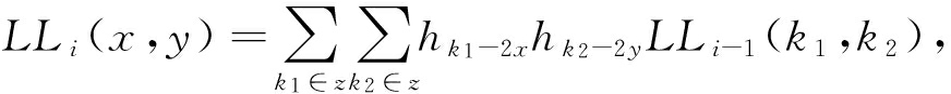
1.2 小波金字塔多层分解
小波具有多分辨率特征,能够将不同频率的信息分解在不同图层中,从而有利于提取各图层信息。小波多层分解如下式所示:
![]()
![]()
(1)
式中:LLi-1(k1,k2)表示第i-1层近似子图;LHi(x,y)表示水平细节子图;HLi(x,y)表示垂直细节子图;HHi(x,y)表示对角线细节子图。
小波每次分解获得反应低频信息的近似LL,垂直高频信息的水平细节子图LH,水平高频信息的垂直细节子图HL,水平及垂直高频信息的对角线细节子图HH;每次小波分解都进行向下2抽样,以保证子图总尺寸相等,小波金字塔分解结构如图3(a)所示。由于棉花异性纤维主要以低频的近似信息为主,因此,本文仅选用近似子图LL进行分解;采用小波三层分解,能够实现采样数据中异性纤维信息与背景的分离,满足实验的需求,所以本文选用DB2小波对棉花异性纤维进行三层金字塔分解,近似子图金字塔如图3(b)所示。

图3 小波金字塔结构
Fig.3 The structure of the wavelet pyramid
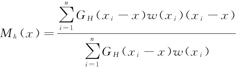
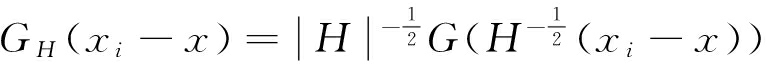
1.3 mean-shift平滑图像
为了减少光照干扰,采用mean-shift算法对棉花异性纤维图像的低频部分进行平滑处理,以消除光照不均的影响[18]。
如果在d维空间中设置n个样本点,则mean-shift矢量的一般形式定义如下:
(2)
式中:k是指在n个样本点中落入Sh区域的个数;(xi-x)是一个集向量。
其中Sh是一组y,这是一个半径为h的高维球面区域,定义如下:
(3)
通过mean-shift矢量的一般形式可以获得一种扩展形式:

(4)
式中:G(x)是一个单位内核函数;H是一个正定对称d×d维矩阵;w(xi)是加权系数,其值不小于零。
其中GH定义如下:
(5)
1.4 棉花异性纤维显著图
1.4.1 中央-周边操作算子
由于棉花异性纤维特征主要分布在低频近似子图中,因此采用下式对棉花异性纤维近似子图进行中央-周边差分操作,以提高异性纤维显著度。
(6)
式中:Θ为中央-周边差分操作;c代表中央尺度,s=c+ξ是周边尺度;LL代表近似子图;LL(ξ)代表近似差分子图。
由于棉花异性纤维图像进行三层小波分解,对1层、2层近似子图进行中央-周边操作,2层、3层近似子图进行中央周边操作,能够增强采样数据中异性纤维信息的显著度,因此中央尺度c分别取1层近似子图和2层近似子图;周边层s分别取2层近似子图和3层近似子图。
1.4.2 子图融合
对近似差分子图进行归一化,然后采用下式进行相加融合形成显著子图。
SLL=∑LL(ξ)
(7)
式中:SLL表示面向异性纤维显著图。
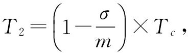
1.5 目标生成
本文采用改进的区域生长法对棉花异性纤维显著图进行分割,从而获得检测目标。
从选定生长点开始,依据带约束条件的生长规则,按顺序对生长点附近的像素进行一致性判断,即判断其3×3邻域的灰度均值是否满足一致性规则,满足一致性条件的像素并入生长区中,从而完成目标的分割[19]。
设已生长得到区域为R,其灰度均值m和标准差σ作为衡量灰度一致性的特征量,其中
和![]()
生长点灰度均值为:
(8)
式中:seed表示待生长的3×3邻域内像素点,SLL(seedl+j,seedc+i)表示3×3邻域内具体的一个像素点的灰度值,Gray(seed)表示3×3邻域内像素点灰度均值。
采用最大类间方差法确定的最佳灰度阈值为T1,灰度变化阈值
其中Tc是人为设定的反映生长条件苛刻程度的量。
带有约束条件的生长规则定义如下:
(9)
式中![]()
2.1 检测效果分析
选取含有棉壳、红色塑料、棉籽、棉叶、透明塑料、白色线头等杂质的样本图像来验证本文算法(Itti改进算法)分割的准确性。采用改进的区域生长法对本文模型的显著图进行分割和目标提取,分割效果如图4所示。由图4可以看出,本文推荐的方法能够有效分割出各种异性纤维。

图4 各样本的分割效果
Fig.4 The segmentation effect of each sample
2.2 检测准确率和快速性分析
本文算法的检测准确率规定图像分割出异性纤维区域面积与人工标记出异性纤维区域面积相差在10%之内定为正确检测,准确率定义如下:
(10)
式中:DA表示棉花异性纤维检测准确率,检测准确率越高,检测效果越好;Nall表示含有异性纤维的检测图像的数量;Ndefect表示能够被正确识别的含有异性纤维图像的数量[20]。
本文实验方案的设计思想为:一是分析本文算法检测的准确率;二是客观算法之间的比较实验,将本文算法与传统经典算法进行对比实验;三是客观算法与主观算法的比较实验,将本文算法与人工检测进行对比实验。在实验过程中,为了验证本文算法的准确率和快速性,本文选取含有棉壳、红色塑料、棉籽、棉叶、透明塑料、白色线头等杂质的样本图像各100幅,大小为256(像素)×256(像素),进行实验分析。
2.2.1 本文算法检测准确率
根据本文检测准确率规定,样本数据分割出的区域面积计算结果落在(-0.1,0.1)区间内即为正确检测,否则认为是误检。其中计算结果落在(-0.1,0)区间内,表示图像分割出的区域面积小于人工标记的区域面积;计算结果落在(0,0.1)区间内,表示图像分割出的区域面积大于人工标记的区域面积。选取上述样本图像各100幅,分析并统计本文算法的准确率,实验结果如图5所示。

图5 本文算法误差数据分析
Fig.5 Error data analysis of this algorithm
由图5分析可知,本文算法检测准确率整体较高,特别是异性纤维图像与背景图像对比度越大,如红色塑料、棉壳、棉籽等,其检出准确率越高;而异性纤维图像与背景图像对比度较小,如透明塑料、白色线头等,其检出准确率相对较低,但是也达到了90%以上。因此,本文采用视觉数据驱动模型,增大异性纤维与正常棉花纤维背景之间的对比度,其检测准确率高。
2.2.2 本文算法与传统经典算法的比较
2.2.2.1 准确率分析
选取上述样本图像各100幅,分别采用本文算法、ST算法[21]、SR算法[22]和Itti算法进行准确率检测实验。为了进行相关实验,Itti算法采用最大类间方差法实现对目标区域的分割,实验结果如表1所示。
表1 本文算法与传统经典算法检测准确率比较
Tab.1 Detection accuracy comparison between this algorithm and traditional algorithms

通过对表1分析可知,Itti算法和SR算法检测准确率相对较低,很难满足异性纤维在线检测的要求。ST算法检测准确率波动较大,对于对比度较高的异性纤维检测准确率较高,对比度较小的异性纤维检测准确率较低,检测普适性较差。本文算法检测准确率整体较高,含有红色塑料、棉壳、棉籽等杂质的图像的检出率较高,那是因为背景图像与异性纤维图像对比度较大,目标区域容易分割;含有透明塑料、白色线头等杂质的图像检出率相对较低,可能的原因是背景图像与异性纤维图像对比度较小,或者异性纤维在棉层中的位置较深,目标区域分割较难。虽然如此,但检出率也达到了90%以上。总体而言,本文算法检测准确率比较高,其范围分布在90%~98%,说明本文算法检测具有普适性。
2.2.2.2 快速性分析
选取上述样本图像各100幅,分别采用本文算法、ST算法、SR算法和Itti算法进行快速性检测实验,结果如表2所示。
表2 本文算法与传统经典算法检测速度比较
Tab.2 Detection speed comparison between this algorithm and traditional algorithms

通过对表2分析可知,本文算法各类样本的平均检测速度都在180 ms左右,要明显优于Itti算法和ST算法;SR算法的检测速度虽然也较快,但相比之下,本文算法的检测速度更快一些。由于棉花异性纤维主要以低频的近似信息为主,本文仅选用近似子图LL进行分解。因此,本文算法的速度更快,整体优于Itti、ST和SR算法。
2.2.3 本文算法与人工检测算法的比较
为了验证本文算法代替人工检测的可能性,将本文算法与人工检测进行对比实验。当人工检测时,需选择3名经过培训的检验人员进行人工检测;当3名检验人员检验结果不一致时,采用少数服从多数原则进行结果认定;当3名检验人员检验结果互不一致时,认定此幅图检验结果无效。
实验时,选取上述样本图像各100幅,分别采用本文算法和人工检测进行准确率和快速性检测实验,结果如表3所示。
表3 本文算法与人工检测准确率及速度比较
Tab.3 Detection accuracy and speed comparison between this algorithm and artificial detection

通过对表3分析可知:样本中对比度较高的异性纤维图像,二者检测准确率都较高,但相比之下本文算法更高一些。对比度较低的异性纤维图像,如透明塑料,人工检测准确率虽然也较高,耗时却比其他异性纤维增长较多;白色线头,人工检测速度虽然有所提高,但是检测准确率又较低。总而言之,人工检测总是以牺牲准确率或快速性为代价的;而本文算法对于任何纤维的时间开销变化很小,检测准确率高,波动小。主要原因在于:对于任何一种异性纤维,本文算法的计算量基本不变导致耗时变化不大;采用提高异性纤维对比度的方法,能够有效的提高低显著性异性纤维检测准确率。
因此,本文推荐的方法能够代替人工视觉检测。
为了提高棉花异性纤维检测的准确性和快速性,本文提出了一种基于视觉数据驱动的棉花异性纤维检测方法。通过小波金字塔多层分解、mean-shift平滑滤波、中央-周边操作、差分子图融合形成显著图,以提高异性纤维显著度;然后,采用改进的区域生长法能准确分割出棉花中的异性纤维。本文采用视觉数据驱动构建的检测模型,结构简单、检测速度快、准确率高。实验结果表明:本文方法与传统经典ST、SR和Itti算法相比,检测准确率较高,尤其对低对比度的异性纤维检测时,表现良好的鲁棒性;本文方法与人工检测对比,具有检测时间少、检测准确率高的特点;本文检测方法为棉花异性纤维检测提供了一种新方法。
参考文献:
[1]STEILZ H M. ITMF Cotton Contamination Survey 1999[M]. Cotton Conf in Texas: USA,2000:63-67.
[2]姚穆.关于中国“纺织质量”之浅见[J].中国纺织,2016(2):33. YAO Mu. A review on “China textile quality”[J]. China Textile,2016(2):33.
[3]汪雪野,谢标.全球有机棉发展现状及展望[J].江苏农业科学,2016,44(1):21-25. WANG Xueye, XIE Biao. Development status and prospect of organic cotton in the world[J]. Jiangsu Agricultural Sciences,2016,44(1):21-25.
[4]石庚尧.浅谈异纤纤维捡出装置[J].北京纺织,2003,24(3):51-53. SHI Gengyao. Discussion of foreign fibers dection device[J]. Beijing Textile Journal,2003,24(3):51-53.
[5]TANTASWADI P, VILAINATRE J, TAMAREE N. Machine vision for automated visual inspection of cotton quality in textile industry using color iso discrimination contour[J]. Computers and Industrial Engineering,1999,37(12):347-350.
[6]郭俊先,应义斌.皮棉中杂质检测技术与检出装备的研究进展[J].农业机械学报,2008,39(7):107-113. GUO Junxian, YING Yibin. Progress on detecting technique and sorter of raw cotton foreign matters[J]. Transactions of the Chinese Society for Agricultural Machinery,2008,39(7):107-113.
[7]王波.基于多尺度小波的棉花异纤检测算法[J].控制工程,2009,16(S1):173-175. WANG Bo. Foreign fiber detection arithmetic based on multi-scale wavelet[J]. Control Engineering of China,2009,16(S1):173-175.
[8]张南宾,刘小平.基于小波变换的棉花异纤检测算法研究[J].计算机仿真,2012,29(4):301-304. ZHANG Nanbin, LIU Xiaoping. Research on foreign fiber detection algorithm based on wavelet transform[J]. Computer Simulation,2012,29(4):301-304.
[9]王昊鹏,冯显英,王娜,等.基于改进的粒子群多阀值算法的白色异性纤维检测[J].农业工程学报,2013,29(23):153-158. WANG Haopeng, FENG Xianying, WANG Na, et al. Detection of white foreign fibers based on improved particle swarm algorithm[J]. Transactions of the Chinese Society of Agricultural Engineering,2013,29(23):153-158.
[10]杜玉红,王加富,蒋秀明,等.应用聚类统计分析的棉花异纤图形检测算法[J].纺织学报,2015,36(3):135-139. DU Yuhong, WANG Jiafu, JIANG Xiuming, et al. Algorithm for pattern detection of cotton foreign fibers based on cluster statistic analysis[J]. Journal of Textile Research,2015,36(3):135-139.
[11]KIECHL W,朱鹏程.棉花中白色丙纶异纤的检测方法[J].国际纺织导报,2015,43(6):61-62. KIECHL W, ZHU Pengcheng. Concept for fighting white polypropylene in cotton[J]. Melliand China,2015,43(6):61-62.
[12]师红宇,管声启,吴宁.棉花中异性纤维的图像多分辨率差分检测方法[J].纺织学报,2014,35(5):13-18. SHI Hongyu, GUAN Shengqi, WU Ning. Detection of foreign fibers among cotton based on image multi-resolution difference method[J]. Journal of Textile Research,2014,35(5):13-18.
[13]师红宇,管声启.基于视觉注意计算模型的棉花异性纤维检测[J].东华大学学报(自然科学版),2016,42(3):400-405. SHI Hongyu, GUAN Shengqi. Cotton foreign fibers detection based on visual attention computational model[J]. Journal of Donghua University (Natural Science),2016,42(3):400-405.
[14]GAO Ke, LIN Shouxun, ZhANG Yongdong. Attention model based SIFT keypoints filtration for image retrieval[C]//Proc of 7th IEEE/ACIS International Conference on Computer and Information Science,2008:191-196.
[15]ITTI L. Models of Bottom-up and Top-down Visual Attention[D]. California: California Institute of Technology,2000:10-34.
[16]张鹏,王润生.由底向上视觉注意中的层次性数据竞争[J].计算机辅助设计与计算机图形学学报,2005,17(8):1667-1672. ZHANG Peng, WANG Runsheng. Hierarchical data competition in the bottom-up visual attention system[J]. Journal of Computer Aided Design & Computer Graphics,2005,17(8):1667-1672.
[17]WALTHER D, RUTISHAUSER U, KOCH C, et al. Selective visual attention enables learning and recognition of multiple objects in cluttered scenes[J]. Computer Vision and Image Understanding,2005,100(1/2):41-63.
[18]赵海英,张小利,李雄飞,等.基于多尺度Meanshift图像去噪算法[J].吉林大学学报(工学版),2014,44(5):1417-1422. ZHAO Haiying, ZHANG Xiaoli, LI Xiongfei, et al. Image denoising algorithm based on multi-scale meanshift[J]. Journal of Jilin University (Engineering and Technology Edition),2014,44(5):1417-1422.
[19]张玲,郭磊民,何伟,等.一种基于最大类间方差和区域生长的图像分割法[J].信息与电子工程,2005,3(2):91-96. ZHANG Ling, GUO Leimin, HE Wei, et al. An image segmentation algorithm based on maximal variance between-class and region growing[J]. Information and Electronic Engineering,2005,3(2):91-96.
[20]GUAN Shengqi, GAO Zhaoyuan. Fabric defect image segmentation based on the visual attention mechanism of the wavelet domain [J]. Textile Research Journal,2014,84(10):1018-1033.
[21]WALTHER D, KOCH C. Modeling attention to salient proto objects[J]. Neural Netw,2006,19:1395-1407. [22]HOU X, ZHANG L. Saliency detection: a spectral residual approach[C]// IEEE Conference on Computer Vision and Pattern Recognition,2007:1-8.
Cotton foreign fibers detection based on visual data driven
SHI Hongyua, GUAN Shengqib
(a. College of Computer Science; b. College of Mechanical & Electronic Engineering, Xi’an Polytechnic University, Xi’an 710048, China)
Abstract:In order to improve the accuracy and rapidity of cotton foreign fiber detection, a new method based on visual data driven to detect cotton foreign fibers is proposed. Firstly, cotton foreign fiber image was decomposed into multiple layers by wavelet Pyramid, to achieve the separation of all kinds of information in the cotton foreign fiber image. Secondly, mean-shift method was applied to smoothen the image so as to eliminate the interference of uneven light. On this basis, saliency map was constructed by center-surround operator and fusion operator, to improve saliency degree of cotton foreign fibers. Finally, the target area was obtained by using the improved region growing method. This detection model has the advantages of simple structure, fast detection speed and high accuracy. The experimental results show that the detection method can effectively detect the foreign fiber, and improve the detection accuracy and rapidity. This paper provides a new method for automatic detection of cotton foreign fibers.
Key words:foreign fibers; data driven; saliency map; mean-shift algorithm; improved region growing method
DOI:10.3969/j.issn.1001-7003.2017.05.007
收稿日期:2016-11-27;
修回日期:2017-04-12
基金项目:陕西省教育厅科研计划资助项目(16JK1334);中国纺织工业联合会科技项目(2016066)
作者简介:师红宇(1981
),女,工程师,主要从事图像处理技术和计算机网络及应用技术的研究。
中图分类号:TS101.91;TP391.41
文献标志码:A
文章编号:1001-7003(2017)05-0036-07 引用页码: 051107